Диагностика и лечение повреждений печени при закрытой травме живота с использованием малоинвазивных технологий
https://doi.org/10.24884/0042-4625-2022-181-3-28-36
Аннотация
ЦЕЛЬ. Улучшение результатов лечения пострадавших с повреждениями печени при закрытой травме живота путем применения высокотехнологичных малоинвазивных методов диагностики и лечения.
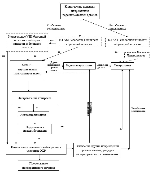
МЕТОДЫ И МАТЕРИАЛЫ. Проанализированы результаты лечения 76 пострадавших с закрытыми травмами печени, получавшим традиционное лечение, и 78, которым лечение проводили в соответствии с разработанным новым алгоритмом. Во второй группе пациентам с УЗИ с признаками разрывов печени и стабильной гемодинамикой (сист. АД>90 мм рт. ст.) выполняли МСКТ с внутривенным контрастированием. При отсутствии признаков продолжающегося кровотечения осуществляли консервативное лечение, при их выявлении – ангиографию с селективной ангиоэмболизацией.
РЕЗУЛЬТАТЫ. Статистически значимых различий по полу, возрасту, механизму и тяжести травмы (по шкалам ISS, Ю. Н. Цибина, ВПХ-П) и тяжести состояния (ВПХ-СП) между пациентами групп не выявлено. Более половины (52,3 %) пострадавших основной группы пролечено без оперативных вмешательств на органах живота. При использовании предложенного алгоритма у пациентов со стабильной гемодинамикой лапароцентез уступил место менее травматичным и более точным методам диагностики внутрибрюшных кровотечений. Все лапаротомии в основной группе были выполнены по поводу других повреждений органов живота. У пострадавших обеих групп видеолапароскопия носила диагностический характер. Одному пациенту основной группы с повреждением печени IV степени по шкале AAST с продолжающимся внутрипаренхиматозным и внутрибрюшным кровотечением проведен эндоваскулярный гемостаз.
ЗАКЛЮЧЕНИЕ. Применение тактики неоперативного и минимально инвазивного лечения гемодинамически стабильных пострадавших с разрывами печени как при изолированной, так и при сочетанной закрытой травме живота позволило уменьшить количество выполняемых диагностических видеолапароскопий на 24 %, лапаротомий – на 29 %, полностью отказаться от лапароцентеза в качестве метода диагностики, снизить летальность на 4,6 % и продолжительность стационарного лечения выживших пациентов на 4 суток.
Об авторах
Я. В. ГаврищукРоссия
Гаврищук Ярослав Васильевич, кандидат медицинских наук, заведующий операционным блоком № 2, Санкт-Петербургский научно-исследовательский институт скорой помощи им. И. И. Джанелидзе; ассистент кафедры экстремальной медицины, травматологии, ортопедии и военнополевой хирургии, Санкт-Петербургский государственный педиатрический медицинский университет
Санкт-Петербург
В. А. Мануковский
Россия
Мануковский Вадим Анатольевич, доктор медицинских наук, профессор, директор, Санкт-Петербургский научно-исследовательский институт скорой помощи им. И. И. Джанелидзе; зав. кафедрой нейрохирургии, Северо-Западный государственный медицинский университет им. И. И. Мечникова
Санкт-Петербург
А. Н. Тулупов
Россия
Тулупов Александр Николаевич, доктор медицинских наук, профессор, руководитель отдела сочетанной травмы
Санкт-Петербург
А. Е. Демко
Россия
Демко Андрей Евгеньевич, доктор медицинских наук, профессор, заместитель главного врача по хирургии, Санкт-Петербургский научно-исследовательский институт скорой помощи им. И. И. Джанелидзе
Санкт-Петербург
Е. А. Колчанов
Россия
Колчанов Евгений Александрович, врач-хирург операционного блока № 2, Санкт-Петербургский научно-исследовательский институт скорой помощи им. И. И. Джанелидзе; ассистент кафедры морфологии человека, Северо-Западный государственный медицинский университет им. И. И. Мечникова
192242, Санкт-Петербург, ул. Будапештская, д. 3, лит. А.
В. Е. Савелло
Россия
Савелло Виктор Евгеньевич, доктор медицинских наук, профессор, руководитель отдела лучевой диагностики
Санкт-Петербург
М. Н. Правосуд
Россия
Правосуд Михаил Николаевич, врач-хирург операционного блока № 2
Санкт-Петербург
Список литературы
1. Asensio JA, Forno W, Gambaro E, Steinberg D, Tsai KJ, Rowe V, Navarro Nuño I, Leppäniemi A, Demetriades D. Abdominal vascular injuries. The trauma surgeon's challenge. Ann Chir Gynaecol. 2000;89(1):71-8. PMID: 10791649
2. Mehta N, Babu S, Venugopal K. An experience with blunt abdominal trauma: evaluation, management and outcome. (Электронный ресурс). Clin Pract. 2014;4(2):599. URL: http://www.clinicsandpractice.org/index.php/cp/article/view/599
3. Swaid F, Peleg K, Alfici R, Matter I, Olsha O, Ashkenazi I, Givon A. Israel Trauma Group. Concomitant hollow viscus injuries in patients with blunt hepatic and splenic injuries: an analysis of a National Trauma Registry database. Injury. 2014;45(9):1409-1412.
4. Цыбуляк Г.Н. Частная хирургия механических повреждений /Под ред. Г.Н. Цыбуляка. СПб.: «Гиппократ», 2011. 576 с.
5. Эргашев О.Н., Гончаров А.В., Прядко А.С., Виноградов Ю.М. Повреждение печени у пострадавших с тяжёлой сочетанной травмой // Вестник хирургии имени И.И. Грекова. – 2011. – № 6. – С. 52 – 55.
6. Абакумов М.М., Лебедев Н.В., Малярчук В.И. Повреждения живота при сочетанной травме.- М.: «Издательство «Медицина», 2005.-С. 101-114, 127-131.
7. Борисов А.Е., Кубачев К.Г., Мухуддинов Н.Д. и др. Диагностика и хирургическое лечение изолированных и сочетанных травматических повреждений печени// Вестник хирургии - 2007.-Т. 166, № 4-С. 35-39.
8. Гуманенко Е.К. Военно-полевая хирургия - М.: ГЭОТАР-Медиа, 2008.- С. 711-744.
9. Козлов И.З., Горшков С.З., Волков В.С. Повреждения живота - М.: Медицина, 1988.-С. 53-92.
10. Шапкин В.С., Гриненко Ж.А. Закрытые и открытые повреждения печени - М.: Медицина, 1977.-С. 64-102.
11. Hinton JW. Injuries to the abdominal viscera: their relative frequency and their management. Ann Surg 1929; 90:351–6.
12. Ekelund L, Stigsson L, Jonsson N, Sjögren HO. Transcatheter arterial embolization of normal livers and experimental hepatic tumours in the rat. Acta Radiol Diagn (Stockh). 1977 Nov;18(6):641-51. doi: 10.1177/028418517701800605. PMID: 605813;
13. Cho KJ, Reuter SR, Schmidt R. Effects of experimental hepatic artery embolization on hepatic function. AJR Am J Roentgenol. 1976 Oct;127(4):563-7. doi: 10.2214/ajr.127.4.563. PMID: 970523.
14. Richie JP, Fonkalsrud EW. Subcapsular hematoma of the liver. Nonoperative management. Arch Surg. 1972 Jun;104(6):781-4. doi: 10.1001/archsurg.1972.04180060031007. PMID: 5029409
15. Lambeth W, Rubin BE. Nonoperative management of intrahepatic hemorrhage and hematoma following blunt trauma. Surg Gynecol Obstet. 1979 Apr;148(4):507-11. PMID: 432762
16. 1986 году Oldham K. Oldham KT, Guice KS, Ryckman F, Kaufman RA, Martin LW, Noseworthy J. Blunt liver injury in childhood: evolution of therapy and current perspective. Surgery 1986;100: 542–9.
17. Meyer AA, Crass RA, Lim RC, Jeffrey RB, Federle MP, Trunkey DD. Selective nonoperative management of blunt liver injury using computed tomography. Arch Surg 1985;120: 550–4.
18. Приказ Минздрава РФ от 15.11.2012 г. № 927н "Об утверждении Порядка оказания медицинской помощи пострадавшим с сочетанными, множественными и изолированными травмами, сопровождающимися шоком»
19. Панкратов А.А. Минимизация хирургической агрессии при абдоминальной и торакальной травме: автореф. канд. мед. наук. – М., 2018. – 50 с.
20. Moore FA, Moore EE, Seagraves A. Nonresectional management of major hepatic trauma. An evolving concept. Am J Surg 1985;150:725–9.
21. Courtice F.C., Simmonds W.J. Physiological significance of lymph drainage of the serous cavities and lungs. Physiol Rev. 1954 Jul;34(3):419-48. doi: 10.1152/physrev.1954.34.3.419. PMID: 13185750.
Дополнительные файлы
|
|
1. рис 1 | |
| Тема | ||
| Тип | Исследовательские инструменты | |
Посмотреть
(81KB)
|
Метаданные ▾ | |
|
|
2. Рис 2.1 | |
| Тема | ||
| Тип | Исследовательские инструменты | |
Посмотреть
(91KB)
|
Метаданные ▾ | |
|
|
3. Рис 2.2 | |
| Тема | ||
| Тип | Исследовательские инструменты | |
Посмотреть
(84KB)
|
Метаданные ▾ | |
|
|
4. Рис 3а | |
| Тема | ||
| Тип | Исследовательские инструменты | |
Посмотреть
(48KB)
|
Метаданные ▾ | |
|
|
5. Рис 3б | |
| Тема | ||
| Тип | Исследовательские инструменты | |
Посмотреть
(38KB)
|
Метаданные ▾ | |
|
6. Сопроводительные док. | |
| Тема | ||
| Тип | Исследовательские инструменты | |
Скачать
(228KB)
|
Метаданные ▾ | |
|
7. Заключение СПбГПМУ | |
| Тема | ||
| Тип | Прочее | |
Скачать
(77KB)
|
Метаданные ▾ | |
Рецензия
Для цитирования:
Гаврищук Я.В., Мануковский В.А., Тулупов А.Н., Демко А.Е., Колчанов Е.А., Савелло В.Е., Правосуд М.Н. Диагностика и лечение повреждений печени при закрытой травме живота с использованием малоинвазивных технологий. Вестник хирургии имени И.И. Грекова. 2022;181(3):28-36. https://doi.org/10.24884/0042-4625-2022-181-3-28-36
For citation:
Gavrishchuk Ya.V., Manukovsky V.A., Tulupov A.N., Demko A.E., Kolchanov E.A., Savello V.E., Pravosud M.N. Diagnosis and treatment of liver injuries in blunt abdominal injury using minimally invasive technologies. Grekov's Bulletin of Surgery. 2022;181(3):28-36. (In Russ.) https://doi.org/10.24884/0042-4625-2022-181-3-28-36
JATS XML









































